
EVA수지는 제조방법에 따라 고압중합, 용액중합, 에멀젼중합으로 나누며, 고압중합으로 생산된 EVA수지는 고체상태의 pellet형상이며 VAM의 최대함량은 40%정도이다.
반면 용액중합이나 에멀젼중합으로 생산된 EVA수지는 VAM함량이 50~100%이며 주로 접착제의 원료로 사용된다.
EVA의 물리적 특성은 MI (Melt Index)와 VAM함량에 좌우되며 극성기를 갖고 있는 VAM의 도입으로 VAM함량이 증가할수록 내약품성이 저하된다. 아울러 VAM함량이 증가할수록 흡습성이 증가하며 에틸렌 대비 부피가 큰 VAM으로 인한 결정화도 감소로 가스차단성이 떨어진다.

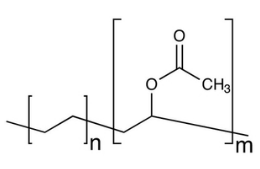
Ethylene과 Vinyl Acetate(VA)의 공중합체이다. VA 함량에 따라 밀도가 증가하고 유연성이 증가하며, 탄성력과 열접착 온도, 내구성, 투과력 등이 달라지는 특징이 있다.
LDPE에 비해 투명성과 접착력이 크고 탄성과 저온열봉합성도 우수하다. 부드러우면서도 강하며, 폴리우레탄과 같은 다른 극성 폴리머보다 저렴하기 때문에 가격경쟁력까지 갖추고 있다.

EVA는 LDPE(Low Density Polyethylene)에 VA(Vinyl Acetate)가 랜덤하게 섞여서 고분자 주사슬을 형성하고 있다. 따라서 기본적으로는 LDPE의 성질을 띠면서 VA의 함량에 따라 성질이 좌우된다. 예를 들어 VA의 함량이 증가될 때, 강도(Stiffness) · 결정화도 · 녹는점 · 화학적 내구성은 감소하며, 충격강도(Impact Strength) · 투명도 · 마찰계수는 증가한다.
EVA는 고압 반응기에서 Ethylene과 Vinyl Acetate가 Free-radical 첨가 중합을 통해서 연속 공정(Continuous process)으로 생산된다. 이것은 Initiator가 깨져 Free Radical을 형성하고, 과량으로 투입된 이중결합 단량체(Vinyl Monomer)들과 연속적으로 반응하는 Chain-Growth 중합법이다.
EVA의 특징은 투명성, 유연성, 저온취성, 내충격성, 자기 점착성, 내열성을 가지고 있다.

압축된 형태의 스펀지와 비슷한 EVA 쿠션은 탄성력이 매우 우수하여 스포츠 용품에 많이 사용되고 있다. 특히 운동화 밑창, 깔창의 발포 시트는 모두 EVA이다. 또한, 부드럽고 내구성이 강하므로 일상에서는 놀이방의 깔개, 어린이 장난감, 주방용 매트, 방음재 등으로 사용되고 있다.
가볍고 유연하면서도 단열, 보온성이 좋아 각종 스포츠, 레저용 안전장비에 사용된다. 또한, 농업용으로는 비닐하우스 제작에 사용되는데, 기존 비닐보다 먼지가 덜 달라붙어 농업용 필름으로 적합하다.
EVA는 투명하고 접착력이 좋아 각종 문구류와 종이 코팅에 사용된다. 기존 코팅 재질보다 친환경적이며 고속 가공성을 가지고 있어 새로운 코팅 재료로 주목을 받고 있다. EVA는 투명성이 좋아 태양빛을 잘 투과시키며, 내구성이 좋아 오랜 기간 사용할 수 있다. EVA sheets는 태양전지를 이루는 각 층을 접착하는 역할을 하며 태양전지 셀을 보호한다.
EVA 중 접착제나 왁스류 첨가제로 쓰이는 것은 VA 함량이 25%인 것들이 대부분이다. 접착력이 우수한 EVA는 포장 박스나 제본, 목공용 접착제로 널리 쓰이고 있으며 다른 접착제들보다 친환경적이면서도 사용이 편리하다.
'공정설계' 카테고리의 다른 글
| cryogenic service blowdown (Depressurizing) (0) | 2025.03.30 |
|---|---|
| ABS/SAN process 이해 (0) | 2025.03.22 |
| Deuterium oxide (D2O, 중수) 이해 (0) | 2025.02.06 |
| CATOFIN Process 이해 및 OLEFLEX와의 비교 (0) | 2025.02.04 |
| PERC (Perchloroethylene) injection (0) | 2025.02.02 |