다음 내용은 Chemical engineering design principle practice and economics of plant and process design (2nd ed.)에서 발췌한 내용이다.
Cyclone은 원심력을 이용하여 가스내 미세입자를 분리하는 장치로서 다양한 곳에 사용되며 간단하고 다양한 재질 및 고온 고압에서도 적용이 가능한 장점이 있다.
주로 5마이크론 이상 입자 크기를 분리하는데 적절하고, 응집이 일어날 경우 0.5마이크론까지도 분리가 가능하며 가장 흔하게 사용하는 type이 reverse flow cyclone이고, 다른 configuration은 특별한 목적이 있을 경우 사용할 수 있다.

설계 절차는 다양한 사람들에 의해 제시되었으며, 이중 stairmand method를 이용한 설계는 다음과 같다.
Cyclone design
Stairmand는 2개의 표준 설계를 제시하였고, 하나는 high efficiency이고, 다른 하나는 high throughput이다.

표준 시험 조건에서 실험을 통한 성능곡선은 아래와 같다.

주어진 분리효율에 대해 scaling equation을 이용하여 다른 cyclone 크기나 운전조건으로 위 curve는 변형될 수 있다.



제안된 설계에 대한 성능곡선은 위 표준설계 곡선으로부터 grade diameter를 곱하여 아래와 같이 표현할 수 있다.

Cyclone은 inlet velocity가 9~27m/s가 되도록 설계하고, 최적의 값은 15m/s이다.
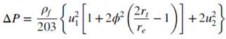
Pressure drop
pressure drop은 Cyclone내 entry loss, exit loss 그리고 friction loss, kinetic energy loss에 기인한다. stairmand에 의한 실험식을 이용하여 계산한다.




Cyclone pressure drop factor
위 stairmand 식은 solid가 없는 only gas에 대한 pressure drop이므로 solid loading에 의존하여 calculated pressure drop은 더 증가할 것이다.
General design procedure
요구되는 performance에 대해 high efficiency인지 high throughput인지를 결정한다.
입자 분포도에 대한 정보를 검토한다.
Parallel일 경우 요구되는 cyclone 개수를 추정한다. (계산된 cyclone diameter가 standard cyclone diameter인 8”보다 클 경우 고려)
Inlet velocity 15m/s를 기준으로 cyclone diameter를 계산하고 이후 cyclone dimension을 확정한다.
제안된 cyclone의 performance transposition에 대한 scale up factor를 계산한다.
Cyclone performance와 overall efficiency를 계산하고 만족한 결과가 아니라면 cyclone diameter를 줄여서 re-trial한다.
Cyclone pressure drop을 계산하고 50~250mmH2O범위인지 그리고 hydraulic profile이 적절한지 확인한다.

아래는 표준 테스트 조건에서 실험적으로 작성된 성능 곡선이며, 주어진 효율에 대해 다음의 scaling factor를 이용하여 다른 cyclone 크기와 운전 조건으로 전환할 수 있다.






new cyclone의 performance curve는 아래와 같이 작성할 수 있다.

Calculation spreadsheet




#stairmand_method#cyclone#scaling_equation#high_efficiency#high_throughput#15m_per_s#50_250mmH2O
'Cyclone 설계 컨설팅' 카테고리의 다른 글
| Cyclone Simulation (0) | 2024.12.26 |
|---|---|
| Cyclone 설계 이해 (0) | 2024.12.26 |