Hydraulic Power Recovery Turbine을 이용하여 에너지 효율을 높이고 CO2 배출을 줄일 수 있다.
고압 액체의 에너지를 이용하여 rotor를 회전하기 위한 운동에너지로 전환, 이 device에 연결된 펌프나 compressor, generator등을 운전할 수 있다. 모든 종류의 원심펌프 중 key part를 기술적으로 개선하여 HPRT로 개조할 수 있다. 이러한 배경으로 HPRT도 API 610의 기준을 적용한다.
많은 화학공장내의 흐름들은 고압에서 저압으로 흐르고 이 때 적절한 제어를 위해 throttling valve를 이용하여 control을 수행하며 이 과정에서 에너지가 소모된다. 하지만 이 흐름을 HPRT (Hydraulic Power Recovery Turbine)을 통해 흐를 경우 차압의 약 80%를 recovery할 수 있다. 따라서 HPRT에 대한 최종 설치 결정을 위해서는 에너지 saving 효과와 HPRT 투자비용을 비교해야 한다.

HPRT에는 크게 reaction type과 impulse type이 있음. Reaction type은 single 혹은 multistage가 있고 아울러 fixed 혹은 variable guide vane이 있으며 impulse type은 주로 차압이 큰 경우 적용한다. Francis type rotor의 HPRT는 centrifugal pump와 유사하며, pelton wheel type의 HPRT는 고압 유체를 let down하여 에너지를 만들며 이는 back pressure에 크게 영향을 받지만 reaction type은 back pressure에 영향을 덜 받는다.
고압 액체를 저압으로 낮추면서 얻게 되는 이론적인 에너지는 계산이 가능하며 여기에 마찰에 따른 손실이 있으므로 효율을 고려한다. 일반적으로 성능이 괜찮은 펌프나 HPRT의 효율은 70~80%이며, 결국 펌프가 요구하는 에너지의 50~60%를 HPRT에서 공급할 수 있다.
HPRT는 펌프 외에 compressor, fan, blower, generator 등 회전기계를 운전하는데 사용될 수 있으며, 이 때 가장 중요한 요소는 회전기계에서 요구되는 power와 HPRT에서 만들어 내는 power간의 조화이며 speed control도 중요한 factor이다. 이러한 요소를 control하기 위해 HPRT 전단 혹은 후단에 액체 흐름을 throttling하거나 또는 액체 흐름의 일부를 HPRT bypassing하거나 HPRT내 IGV를 adjusting한다.
HPRT가 적용되는 공정으로는 주로 아민과 같은 rich sweetening solvent, rich absorption oil, 고압 crude oil, 고압 NGL, 액상 냉매 letdown 등이다.

Gas scrubbing HPRT application can recover more than 2MW
석유화학 공장에서는 공정 목적에 따라 고압의 유체를 저압으로 let down해야 하는 과정에서 종종 pressure control valve를 통해 많은 양의 에너지가 소비되고 있다. 예를 들어 gas sweetening공정에서 고압 rich amine이 저압 amine regenerator로 들어가며 가스가 제거된 lean amine은 다시 고압 absorber로 pumping되어진다. 혹은 gas dehydration공정으로 고압의 rich glycol이 저압의 regenerator로 들어가며 수분이 제거된 lean glycol은 다시 dehydrator로 pumping되어진다.
경제성을 고려한 HPRT의 single stage의 하한치가 30hp이고 multi stage의 경우 100hp이다. HPRT의 경우 payback은 1~3년 정도로 알려져 있다. 특히 pump를 운전하기 위한 HPRT는 동일 vendor로부터 구매를 하여 일관성 있는 설계 및 책임을 부여하는 것이 좋다. HPRT를 통한 이용 가능한 차압은 centrifugal pump의 TDH를 계산할 때와 유사한 방법으로 적용할 수 있다.

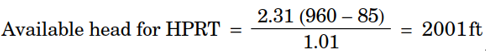
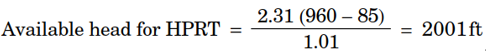
펌프의 NPSHA와 head는 아래와 같이 203ft, 2102ft이다.


펌프는 5단이며 펌프 curve로부터 효율은 약 78.5%이며 이 때 power는 676hp이다.

HPRT를 통한 available head는 2001ft이다.

HPRT는 3단이며 역시 performance curve로부터 효율은 76%이며 이 때 power는 388hp이다.


Pump와 HPRT의 부족분을 채울 수 있는 모터를 고려할 수 있다. 이 때 676hp – 388hp인 288hp만큼 make-up을 해주어야 한다. 하지만 초반 start-up을 위해 자체적으로 676 hp를 공급할 수 있도록 크게 선정 (helper가 아닌 full size)할 필요가 있다. 이러한 pump, HPRT, motor가 직접 연결되며 가끔 모터와 HPRT사이에 clutch를 사용하여 unit가 HPRT와 독립적으로 운전을 할 수 있다.

위 예제처럼 HPRT는 3단이고 pump는 5단의 차이가 있지만, 두 설비의 hydraulic design은 매우 유사하며 이 경우 HPRT는 역방향으로 회전하는 원심펌프와 유사한 거동을 한다.
고압의 액체가 HPRT내로 유입됨에 따라 pump의 impeller와 유사한 runner를 회전시켜 hydraulic energy를 mechanical rotation으로 전환시킨다. 이러한 전환된 기계적 에너지는 펌프나 generator를 회전시켜 main motor의 load를 줄일 수 있다.
장점으로는 payback 기간이 짧고 traditional turbine보다 초기 투자비가 낮다. 버려질 수 있는 에너지를 회수할 수 있으며 유지관리가 용이하다.

압축성 고압 가스를 let down하는 공정에서 expander를 이용하여 동력을 만드는 것처럼 비압축성 고압 액체의 에너지를 이용하여 에너지를 회수하는 설비가 HPRT이다. 이 설비는 에너지 소비를 줄임으로서 경제적으로 feasible solution이며 동시에 CO2 감축에도 기여를 할 수 있다.
HPRT는 runner의 배열에 따라 overhung, between bearing, vertical suspended로 분류할 수 있다. 각 type은 다시 coupling, stage수, casing수 및 geometry에 따라 세분할 수 있다. HPRT efficiency curve는 원심펌프의 거동과 유사하며 펌프보다 약간 높은 효율을 보여주며 또한 HPRT는 min flow 이하에서는 power를 생성하기 보다는 power를 소모하게 된다.

the comparison of head, efficiency and horsepower between a pump and an HRPT

The arrangement of an HRPT with pump drive at motor speed

the arrangement of an HPRT with pump drive at greater than motor speed
HPRT 역시 펌프처럼 점도가 클 경우 효율이 감소하며 일부 HPRT는 discharge에서 flashing을 이용하여 power output를 크게 높일 수 있다. 펌프를 운전하기 위해 HPRT가 설치될 때 단독으로 설치되기 보다는 motor와 함께 dual driver 형태로 배열되며 motor speed로 회전하는 펌프 혹은 motor speed보다 높게 회전할 수 있다.
공정 관점에서 HPRT는 아래 도면과 같은 component를 포함한다. 이 HPRT는 generator와 연결되어 있으며 grid에 matching이 되도록 output power를 adjusting하는 VFD (Variable-Frequency Drive)가 고려되어 있다. 안정적 운전과 system을 보호할 수 있는 안전을 확보하기 위한 중요한 component로는 다음과 같다.

typical components used in an HPRT system (with inlet flow control)
Over-speed trip: 공정의 abnormal 조건으로부터 야기된 지나친 speed로부터 설비를 보호하도록 하는 기능
Throttle valve: HPRT inlet에 설치되어 유량을 제어하며 특히 가스가 evolution되어 좀 더 큰 power output이 가능함. Vendor에 따라 throttling valve를 HPRT 후단에 설치하는 경우도 있음. 또한 multiple inlet valve를 설치하여 유량이 각 nozzle에 도입되어 효율을 극대화하면서 적절한 범위의 capacity에서 운전이 되도록 배열하기도 함.
Bypass valve: HPRT maintenance나 operational flexibility를 위해 full flow capacity의bypass valve가 설치됨. Turbine flow valve와 bypass valve가 split range로 제어됨.
Relief valve: HPRT 후단의 저압 배관과 설비 보호를 위해 PSV가 설치됨.
Seal flushing system: API682에 따른 seal flushing system이 고려되지만 경우에 따라 seal less HPRT가 설치되기도 함.
Utilities: HPRT 운전을 위해 lube oil, IA, N2 등이 요구됨.
Instruments and controls: 주요 운전 변수로는 전후단 압력, 유량, speed, power output임.
HPRT process design 측면에서 Spec 작성시 다음 사항을 고려한다.
운전조건으로 온도, 유량, 압력, head, power 등을 define하고, 전후단 설계온도와 압력을 결정한다. 액체 물성치를 확인하고 방폭 구역 구분, 대기 조건, utility condition 등을 입력한다. 설치 관련, sketch를 첨부하여 어떤 배열인지를 정의한다.
이후 견적서를 통해 HPRT performance curve와 power output이 공정 조건에 만족하는지 확인하고 supply scope과 warranty 조건을 확인한다. HPRT가 액체 내 solid나 vapor, corrosive, abrasive 혹은 다른 오염물질이 존재할 경우 운전이 가능한지 확인한다.
물일 경우 HPRT 효율은 80%이상이며 petroleum과 같은 점성 유체는 70%이상이다.
만약 HPRT를 통해 다른 설비를 회전시킨다면 전체 에너지 절감은 HPRT brake power, clutch 효율, HPRT와 회전기계간의 설비의 효율을 곱해서 결정한다. 여기에 control valve나 instrument 혹은 control panel로부터 소모되는 전기를 제외하면 net power saving을 추산할 수 있고, 여기에 1년의 운전시간을 곱해서 누적된 년간 에너지 절감을 예상할 수 있다.
Grid를 통해 전기를 판매하는 경우 power output은 HPRT brake power에 generator 효율을 곱한 후 auxiliary item들의 전기 소모량과 전기설비의 loss를 빼어 net power output을 구한다. 여기에 운전시간을 곱하면 총 export 에너지를 계산할 수 있다.
HPRT를 test하기 위해 고압 액체용 펌프가 필요하고 performance test tolerance는 API610 annex C에 specify되어 있으며 rated head와 rated power는 rated flow의 +/- 5%이며, vibration 기준은 API 610에 언급된 펌프와 동일하다.

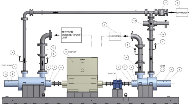
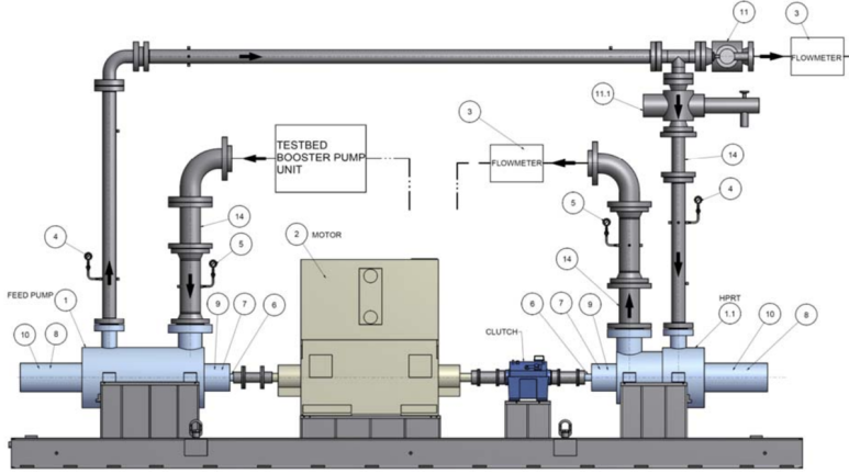
typical set up for a HPRT performance test at test bed
Example of HPRT’s model
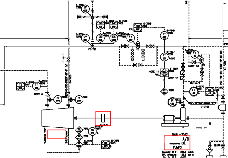
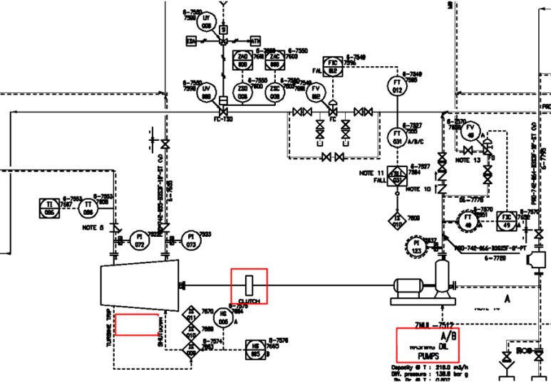
다음은 RHDS 공정에 설치된 HPRT로서 HPRT는 reaction charge pump의 메인 모터를 보조하는 기능이며 펌프는 API BB5 type이고 HPRT도 BB5 type이다. 모터는 pump와 HPRT사이에 설치되며 HPRT는 overturning clutch를 통해 모터에 연결된다. Pump는 seal plan이 23+52이며, 반면 HPRT는 seal plan이 32+53C이다. API 614 chapter 3 lube oil system은 가압된 윤활유를 펌프, 모터, 클러치, HPRT에 공급하며 전체 펌프 skid는 11m길이이고 폭이 2.5m이다.
요약하면 HPRT는 역회전하는 펌프로서 let down 압력을 기계적 에너지로 전환을 하는 설비이며 이는 throttling valve를 통해 loss되는 에너지를 회수하여 효율을 높일 수 있는 장치이다. Loss될 수 있는 에너지의 85%까지 회수할 수 있다. Conventional turbine에 비해 투자비가 낮아 경제적이며 온실가스를 줄일 수 있는 solution이다.
#HPRT#API610#reaction#impulse#Francis#pelton#throttling#bypass#IGV#amine#glycol#RHDS#runner#expander#비압축성#grid#generator#VFD#온실가스절감#letdown#pump
'기계장치설계' 카테고리의 다른 글
| Modular Process Skid (0) | 2026.01.24 |
|---|---|
| 비즈니스의 비밀 무기, 누체필터 이해 (1) | 2026.01.17 |
| Tray Column vs Packed Column (0) | 2025.11.30 |
| 증류탑 flooding 이해 (0) | 2025.11.11 |
| Self-Priming (자흡식) Pump 이해 (0) | 2025.10.13 |
